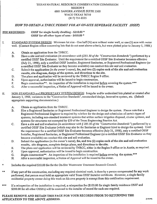
TNRCC Instructions
On-Site Sewerage Facilities (OSSF)
How to Obtain a TNRCC Permit

Homepage  |  Permit  |  Soil Texture  |  Table V  |  Table X  |  Example
 

TNRCC Permit Instructions  
TNRCC Form [1 of 2]  |  TNRCC Form [2 of 2]  


All contents copyright (C) 1997-1998,  D. Fehler  All rights reserved.