Volkova, E.I., and I.F. Zhimulev. 2001. Development time of stocks containing different doses of Supressor of underreplication (Su(UR)ES) gene in Drosophila melanogaster. Dros. Inf. Serv. 84: 48-49.

Next HTML file
PDF file

Development time of stocks containing different doses of Supressor of underreplication (Su(UR)ES) gene in Drosophila melanogaster.

 

Volkova, E.I., and I.F. Zhimulev.  Institute of Cytology and Genetics, Novosibirsk, 630090, Russia.

            Su(UR)ES is a recently discovered gene whose mutation results in suppression of DNA underreplication both in intercalary (IH) and pericentric (PH) heterochomatin of salivary gland polytene chromosomes.  The mutation leads to loss of weak points in the IH and the appearance of new polytenized regions in the PH (Belyaeva et al., 1998).  Increasing the dosage of Su(UR)ES+ has the opposite effect – four and six Su(UR)ES+ doses increase ectopic conjugation, the frequency of breaks, and the total number of “weak spot” sites are dramatically increased.  So, the wild allele of the Su(UR)ES gene is an enhancer of underreplication (Zhimulev et al., 2000).  We discovered that Su(UR)ES is a weak dose-dependent modifier of position effect variegation (in preparation).  It was shown earlier (Michailidis et al., 1988) that the extent of variegation may depend on development time.  To examine a possible role of this factor in modification of PEV by Su(UR)ES, we determined the development time of stocks containing different doses of the Su(UR)ES gene.

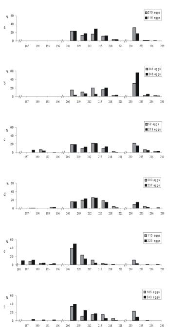
            The following stocks were analysed: Oregon-R, y w and ru h, as controls, mutant Su(UR)ES, and transgenic stocks containing 4 and 6 doses of Su(UR)ES+.  Strains with four and six doses of the Su(UR)ES+ gene contained 2 and 4 copies of a transposon comprising a genomic fragment with the functional Su(UR)ES+ gene (I.V. Makunin et al., in preparation) alongside two genomic copies.  Males and females were allowed to mate for 5 days after emergence at 25ºC.  Then flies were transferred to bottles for 1 hour for egg laying.  Development time was measured as time between oviposition and eclosion in two samples for each stock.  All flies emerging during 3-hour intervals were scored and expressed in percentage (%).  Results of this investigation are shown in Figure 1.  As shown in the histograms, most of the flies (more than 90%) hatch between 206 and 230 hours after oviposition.  We can conclude that neither homozygotes for the Su(UR)ES mutation nor flies with additional Su(UR)ES+ doses show changes in development time.

            References:  Belyaeva, E.S., et al., 1998, Proc. Natl. Acad. Sci. USA 95: 7532-7537;  Michailidis, et al., 1988, Genet. Res. 52: 119-123;  Zhimulev, I.F., et al., 2000, Genetics, submitted.

Figure 1 (below).  Development time of stocks:  a) Oregon-R;  b) y w;  c) ru h;  d) ru h Su(UR)ES;  e) 4 doses of Su(UR)ES+;  f) 6 doses of Su(UR)ES+.  Abscissa: The time (h) between oviposition and eclosion in two samples for each stock (in rectangular - number of eggs for sample).  Ordinate: Frequencies (%) of flies eclosing during 3-hour intervals.